Skip to content
Eco Flick Lab
Home
Research
Scientific Publications
Grants & Awards
Brunet Lab
Elderd Lab
Other
Costa Rica
Outreach
Soccer
Skills
Science Communication
By
flickanator101
—
April 17, 2020
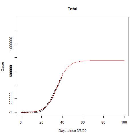
total
Leave a comment
Cancel reply
Δ
Comment
Subscribe
Subscribed
Eco Flick Lab
Sign me up
Already have a WordPress.com account?
Log in now.
Eco Flick Lab
Subscribe
Subscribed
Sign up
Log in
Copy shortlink
Report this content
View post in Reader
Manage subscriptions
Collapse this bar
Leave a comment